【受付時間】 10:00〜18:00(土日祝日を除く)
【受付時間】 10:00〜18:00
(土日祝日を除く)
近赤外吸収スペクトルとは何を測定しているものなのか、改めて考えてみます。教科書的には近赤外吸収スペクトルというものは、近赤外領域(波長800~2500 nm)の電磁波を対象物に照射し、その透過光あるいは反射光を検出し、それを横軸に波長、縦軸に吸光度をとってプロットしたものになります。近赤外吸収スペクトルは、対象物に含まれる化合物の化学構造に起因するパターンとなるので、これを用いて対象物の化学的な同定などが可能となるものです。
S-G1で測定した医薬品Aの近赤外吸収スペクトル
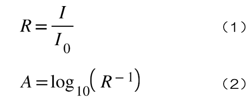
さて、この近赤外吸収スペクトルの縦軸の値とされている吸光度ですが、近赤外分光器S-G1などを用いた反射測定の場合は次のように定義されます。
(1)式のRは「反射率(Reflectance)」を意味します。各波長における反射光強度(I(Intensity))を、何も対象物がない場合(ブランク)のその波長における反射光強度(I0)で除した値がRとなります。
(2)式のAが近赤外吸収スペクトルの縦軸の吸光度(Absorbance)となるものです。吸光度Aは上記の反射率Rの逆数の常用対数として定義されます。入射光がブランクと同じ強度で反射されれば(R=1)、吸光度は0になり、ブランクの10%の強度で反射されれば(R=0.1)、吸光度は1になる、という計算になります。
S-G1で測定した医薬品Aの近赤外吸収スペクトル
上の図のスペクトル例では、1180 nmあたりの吸光度が約0.1となっています。10-0.1は約0.79なので、これは「この対象物は、1180 nmの光をブランクの反射光強度の79%反射する(つまり21%は吸収されている)」という意味になっています。これを測定波長ごとに計算しているのが近赤外吸収スペクトルになります。このように、吸光度は、入射光強度に依存せずに対象物の光の吸収度合いを数値化しているものなので、対象物の特性を表す吸収スペクトルの縦軸としては適しているものと言えます。
さて、上の(1)、(2)式のように近赤外吸収スペクトルの縦軸の吸光度Aが定義されるため、反射測定でさまざまなサンプルで近赤外吸収スペクトルをプロットする際には、必ずブランクの反射光強度I0が必要になってくるのです。そしてこのときブランクとして用いられる素材には、「測定波長領域全域に渡って入射光を強く反射する」という性質が要求されます。
ブランク素材が入射光を強く反射することにより、装置の検出限界に対して大きいI0値が得られます。I0値が検出限界に対して大きいほど、(1)式のI値が取ることのできる数値範囲は大きくなり、その結果取り得る吸光度Aの数値範囲も大きくなります。以下にかなり簡略化した例で示しますが、検出器の検出限界を1、分解能を0.5とした場合、
となり、ブランクの反射光強度I0が強いほど、より大きなダイナミックレンジかつより高い解像度で吸光度Aが測定できることとなります。そして測定波長領域全域でこのように強いI0値を取得できることが理想的です。
識別性や定量性に優れた近赤外吸収スペクトルを得るためには、「測定波長領域全域に渡って入射光を強く反射する」という要件を満足する反射素材をブランクとして用いることが重要になります。
標準反射板RM-2は、「2.ブランク素材に求められる要件」で挙げた「測定波長領域全域に渡って入射光を強く反射する」という性質を高いレベルで満たす、近赤外吸収スペクトルの反射測定用のブランク素材です。
標準反射板RM-2
ここで、近赤外分光器S-G1を用いて、様々なブランク素材を反射材とした際の1000~1600 nmの反射光強度を測定してみました。ブランク素材としては次のものを用いました。
近赤外分光器S-G1と標準反射板RM-2
標準反射板RM-2を用いたブランク測定の様子
得られた反射光強度スペクトルを下に示します。
様々なブランク素材を反射材とした際の反射光強度スペクトル
図からわかるように、用いた素材の中では標準反射板RM-2(グラフ赤ライン)が測定波長領域全域に渡って最も強く入射光を反射していることがわかります。このことから、標準反射板RM-2は、ブランク素材に求められる「測定波長領域全域に渡って入射光を強く反射する」という性質を高いレベルで有しているものと言えます。なお、コピー用紙が低波長領域でRM-2よりもやや強い反射光強度を示しているのは、コピー用紙に含まれる蛍光増白剤の影響と推測されます。
次に、上で用いた各ブランク素材を用いてリファレンス測定を行い、その上で薬剤サンプルの近赤外吸収スペクトルをS-G1を用いて測定してみました。なお、この時薬剤サンプルは、各ブランク素材で上から押さえながら測定しました。
標準反射板RM-2を用いた薬剤サンプル測定の様子
得られた薬剤サンプルの近赤外吸収スペクトルを下に示します。
様々なブランク素材を反射材とした際の薬剤サンプルの近赤外吸収スペクトル
ブランク素材そのものに吸収がある場合(コピー用紙の高波長領域やプラスチック素材)、吸光度が低く計測される傾向にあることがわかります。吸収があるとI0値が小さくなるため(1)式のI/I0値が大きくなり、その結果(2)式の吸光度Aが小さくなってしまうという現象です。適切な近赤外吸収スペクトルを得るためにも、「測定波長領域全域に渡って入射光を強く反射する」というブランク素材に求められる要件は重要です。
このように、標準反射板RM-2は「測定波長領域全域に渡って入射光を強く反射する」という性質を高いレベルで満たすため、大きなダイナミックレンジかつ高い解像度で適切な近赤外吸収スペクトルを測定するのに最適なブランク素材と言えます。
近赤外分光器S-G1を用いて近赤外吸収スペクトル測定を行う際に、標準反射板RM-2でリファレンス測定を行う方法について、以下に記します。
① S-G1をPCと接続し、測定用アプリISC NIRScan GUIを立ち上げます。
② 「Scan」タブ中の「Scan Setting」タブの「Reference Select」で「New」を選択します。
③ 標準反射板RM-2の白い面が、S-G1の測定部分を覆うように置きます。
④ 「Reference Scan」ボタンを押下します。
測定中は次のようなウィンドウが表示されます。
⑤ リファレンス測定が完了すると、「Reference Select」が「Previous」となり、「Reference Scan」ボタンが「Scan」ボタンに変わります。
⑥ 測定したいサンプルをS-G1の測定部分に置きます。このとき、S-G1と標準反射板RM-2でサンプルを挟むように配置することを推奨します。
⑦ 「Scan」ボタンを押下するとサンプル測定が開始します。
⑧ サンプル測定完了後、グラフ下の「Reflectance」、「Absorbance」、「Intensity」ボタンを切り替えることで、それぞれ反射率、吸光度、サンプルの反射光強度の表示に切り替えることができます。


⑨ 「Reference Select」を「Previous」のままにしておけば、この後に測定するサンプルにも同じリファレンスデータが適用されます。S-G1の測定条件を変えた場合は、再度「Reference Select」を「New」にしてリファレンス測定を再度行う必要があります。
*「Reference Select」を「Built-in」にすれば、工場出荷時のリファレンスデータ(これも標準反射板RM-2で測定したものです)が適用されるため、ユーザー側でリファレンス測定を行う必要がなくなります。しかし、測定条件や分光器の経年変化によって検出されるデータに差異が出てきますので、ユーザー側でRM-2を用いて随時リファレンスデータを取ることを推奨します。
【以下のタイミングでRM-2を用いたリファレンス測定を行いましょう】
〇 装置・アプリ立ち上げ時
〇 測定条件変更時
〇 前回リファレンス測定から長時間経過した時
〇 バックグラウンドが気になる時
なお、S-G1はデジタルミラーデバイス(DMD)を用いた分光器です。DMD分光器は測定中に自動的にダーク測定を行うようにプログラムされているため、一般的な近赤外分光器では必須となるダーク測定はユーザー側で行う必要はありません。
製品に関するご相談、デモ機器、お見積・納期などに関して お気軽に問い合わせ下さい
※は入力必須項目となります。